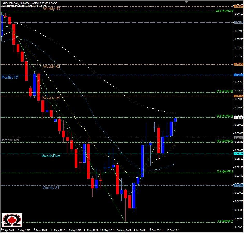
The AUD/USD is approaching the 50% retracement level and the Daily 62 EMA 30 minutes after London's equivalent to New York's'Wall Street', often referred to as 'The Square Mile' or 'The City', began its trading day. Last week the pair printed a 380+ pip weekly candle and although I suspect some traders expected more of a pull back than a continuation, we saw prices as Bearish for only 1 day. This is a good indication that although some investors are returning to the Greenback as a temporary safe haven currency, it is still not enough to rally the Greenback to push back and the Aussie continues to strengthen. Breaking through the 50% level, (38.2% level on a weekly chart) wont be easy with the 62 EMA only 20 pips above at 1.0048. If the Bulls can clear this level, the next target will very likely be the Weekly R1, and 61.8% level of 1.0120. If the Bears resume control and the Greenback pushes back before markets close look for key support at 0.9940. If price does pull back to 0.9940, this may be an excellent area to buy the currency and hold out for 1.0200...provided we get the chance.
