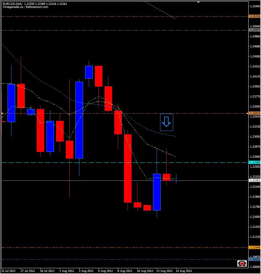
Yesterday the EUR/CAD pair made another attempt of breaking back above 1.2250 but was once again unsuccessful. On Monday, a Bullish Engulfing candle formed from the all time low at 1.2160 but was also unsuccessful at closing above the resistance at 1.2250, and in the process printed a pin bar reversal pattern that Huzefa Hamid has recently written about here at Daily Forex. This is a powerful pattern that when formed at the right area, can be a strong indication of prices to come, in this case, lower prices for the pair. The first stopping point if price does fall will be the previous low at 1.2160...should this level break, we are in fully uncharted territory and must rely on Pivot & Fibonacci Levels to give us some indication of where the pair is headed. There are 3 key levels below that will be as good as any other, the Monthly & Support Levels. The Monthly S1 is at 1.2104 with the Weekly S1 at 1.2083 as well as the Weekly S2 at 1.1994. The Canadian Dollar has been growing in strength lately, with the economy showing signs of recovery, thanks in no small part to higher oil prices. If oil continues to climb, and it probable that it will, the CAD will most likely continue to strengthen against most other currencies. If not, we will be looking to Resistance levels to give us an idea of how high the pair might travel should 1.2250 be taken out with a close above. First we will come to the Weekly R1 at 1.2347 followed by the August high of 1.2442 and then the Monthly Pivot & Weekly R2 at 1.2497 & 1.2522 respectively. Since the Monthly Pivot & weekly R2 sit smack in the middle of the 38.2% & 50% Fibo levels based on July/August price levels it is an excellent target for a pullback. Also at this level is the 62 Day EMA providing another form of resistance.
